找回密碼
 注册
搜索
熱搜: 活动 交友 discuz
查看: 2631|回復: 0

置產的機會

[複製鏈接]
發表於 2009-6-15 16:51:36 | 顯示全部樓層 |閱讀模式
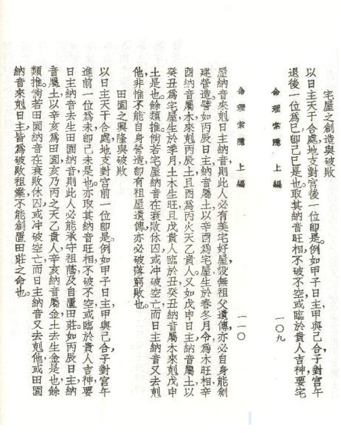
有人有能力買房子土地,以前叫宅舍田園。
《命理索隱》以日主判斷,《三命通會》以生年判斷。

例如戊寅日,納音城頭土,宅屋癸未,納音楊柳木,宅屋之納音剋日主納音,且未,戊之貴人。
戊寅之田園,癸酉劍鋒金,七月生人,旺,又日主納音生田園納音。
因此宅屋創造與田園興隆的機會大增,若加上本身努力,行運扶助,必能置產。
置產~命理索隱.JPG
置產~三命通會1.JPG
置產~三命通會2.JPG
 樓主| 發表於 2009-6-15 17:14:18 | 顯示全部樓層
宅舍田園,看12地支圖,易尋。
天干,用五合,可知。
如戊寅日,戊癸合,宅舍在未,即癸未,田園在酉,即癸酉。
宅舍田園1.GIF
宅舍田園2.GIF
回復

使用道具 舉報

發表於 2009-6-18 13:00:41 | 顯示全部樓層
這個應該是論宅墓的...

書上曾提的, 以年本作為根基處.
而日上的宅墓為機括.
但有書上提的, 要以年去分陰陽方, 才可定日之宅的內外.
因日之宅墓是夫妻之所, 所以尤其重要.
行運助之, 宅之旺相處, 故指的是近事.
回復

使用道具 舉報

發表於 2009-6-19 18:17:09 | 顯示全部樓層
小弟注意到这个宅墓,但到今天都还不会使用,私下猜测,不排除可能是古人为了理清整个算命系统,牵强附会设置的条例
回復

使用道具 舉報

發表於 2010-1-13 14:35:46 | 顯示全部樓層
謝樓主,學習了.
回復

使用道具 舉報

發表於 2011-4-8 13:42:41 | 顯示全部樓層
谢谢分享,学习啦!!
回復

使用道具 舉報

發表於 2011-5-2 18:12:45 | 顯示全部樓層
一理通
百理明
回復

使用道具 舉報

發表於 2011-6-4 18:58:01 | 顯示全部樓層
挖哩 真深奧阿~~~果然是古法 起12宮確實不可小覷
回復

使用道具 舉報

手機版|小黑屋|術數縱橫

GMT+8, 2025-10-25 01:20 AM , Processed in 0.022240 second(s), 17 queries .

Powered by Discuz! X3.5

© 2001-2025 Discuz! Team.

快速回復 返回頂部 返回列表