找回密碼
 注册
搜索
熱搜: 活动 交友 discuz
查看: 3756|回復: 0

红囊经精解(全本)

[複製鏈接]
發表於 2009-4-2 21:07:26 | 顯示全部樓層 |閱讀模式
自序
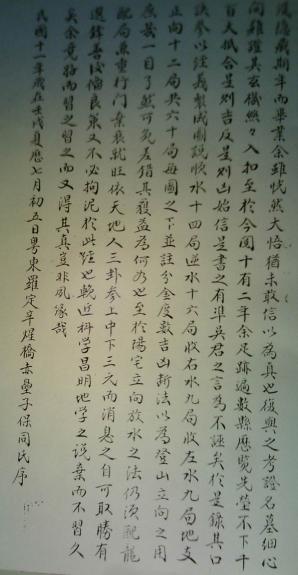
语云成仙者有仙缘,成佛者有佛缘.五论之内而成为父子兄弟夫妇朋友者,则有人缘.至于古今文人学士,亦必于诗书有缘,然后能通博典籍,穷究经史,为通儒,为名士。诚哉是言也。今余得是书而诵读之,是殆所谓凤缘耶!书何名红囊经也?红囊祖何经?祖于天玉青囊,曾序奥语而作也。授于余者何人?南海吴君少庚也。吴君以辛亥夏,至吴邑,始与面善。见其沉艺寡默,堂堂然有文夫气,惟未知其所学。及朝夕过从,畅叙久之,始知其学问博淹,兼善青鸟之术。乃邀览邑中名墓,叩其盛衰之理。彼即谈言微中,验同著龟。余始而惊,继而喜,锨锨然话之曰:嗟夫!吾子何其神哉!子所读何书?所获何诀?能为余一谈玄妙乎!吴君曰:归乃言之,吾无隐乎尔。遂与具归逆旅,为竟日谈,袖出李三素所著红囊经而解释之,逐节剖明。


这里可下载
https://forum.shusquare.com/forum.php?mod=viewthread&tid=79216&extra=page%3D1
经囊经精解.jpg
经囊经精解2.jpg
發表於 2009-4-24 09:55:56 | 顯示全部樓層
謝謝板主分享!感謝~~~~~~
回復

使用道具 舉報

發表於 2009-4-29 12:21:11 | 顯示全部樓層
谢谢楼主分享。祝福永远。
回復

使用道具 舉報

發表於 2009-4-29 20:55:30 | 顯示全部樓層
回復

使用道具 舉報

發表於 2009-5-1 16:22:08 | 顯示全部樓層
书是好书,可惜手头没钱。
回復

使用道具 舉報

發表於 2009-5-30 01:03:29 | 顯示全部樓層
人老了太难学.古人秘诀谁懂
回復

使用道具 舉報

發表於 2009-8-24 18:54:32 | 顯示全部樓層
书是好书,可惜手头没钱。
回復

使用道具 舉報

發表於 2009-10-17 13:10:00 | 顯示全部樓層
请问那里有卖?
回復

使用道具 舉報

發表於 2010-3-26 11:21:49 | 顯示全部樓層
謝謝板主分享!感謝!
回復

使用道具 舉報

發表於 2010-3-29 09:17:54 | 顯示全部樓層
谢谢楼主分享。祝福永远。
回復

使用道具 舉報

發表於 2011-1-27 21:17:46 | 顯示全部樓層
书是好书,可惜手头没钱。
回復

使用道具 舉報

發表於 2011-12-31 19:54:33 | 顯示全部樓層
回復

使用道具 舉報

發表於 2013-5-10 20:23:31 | 顯示全部樓層
谢谢楼主分享。祝福永远。
回復

使用道具 舉報

手機版|小黑屋|術數縱橫

GMT+8, 2025-10-23 01:11 AM , Processed in 0.026320 second(s), 17 queries .

Powered by Discuz! X3.5

© 2001-2025 Discuz! Team.

快速回復 返回頂部 返回列表